본문으로 바로가기
메인메뉴 바로가기
홈
로그인 후 학교서비스를 이용해주세요
로그인
회원가입
사이트맵
학교안내
건학이념
이사장 인사말
학교장 인사말
학과 소개
자동차과
미래자동차과
자동차디자인과
교육이념
학교연혁
학교상징
교직원소개
교육현황
찾아오시는 길
입학안내
언론이본GHAS
입학정보
자주묻는질문
입학상담
학교둘러보기
학교소개책자
홍보동영상
GHAS ON 진로페스티벌 신청확인
입학설명회 신청확인
학교소식
공지사항
학교행사
연간계획
월중행사
취업/진학
취업현황
진학현황
GHAS 최고의 수업
방과후학교
가정통신문
가정통신문(교육청)
기숙사
교육과정 계획
협약형 특성화고
협약형 특성화고란?
사업 및 새소식
묻고 답하기
협약 기업 현황
산학일체형 도제
도제학교 소개
도제학교 소개
자동차정비분야
SW개발분야
도제학교 취업현황
도제학교 취업현황
자동차정비분야
SW개발분야
도제학교 공지사항
도제학교 활동사진(자동차)
도제학교 활동사진(SW개발)
특색교육활동
하이테크 특성화고 계약학과
사업개요
운영활동
중소기업특성화고 인력양성
사업개요
운영활동
졸업생계속지원
사업소개
공지사항
취업정보
활동 사진
자유게시판
경기도제학교(자동차디자인과)
사업개요
운영활동
미래유망고졸인력양성사업
사업개요
운영활동
Ausbildung 프로그램
사업개요
운영활동
마이크로 교육과정
사업개요
운영활동
유네스코 협력학교
사업개요
운영활동
비즈쿨 사업
사업개요
운영활동
아산 유스프러너 거점학교
사업개요
운영활동
학생마당
급식소식
보건소식
도서관소식
대회 및 자료실
GHAS 진로로드맵
Wee class
Wee class
사이버상담실
동아리활동
수업도움방
규정 및 학교 계획 & 각종 양식
학생안전인권체험
열린정보
학교운영위원회
운영규정
구성현황
운영내용
행정정보공개
정보공개제도안내
사전정보공표
비공개대상세부기준
정보공개자료실
교육행정실
학부모마당
학부모마당
학부모 알림터
학부모회
성적관련민원센터
학교평가
학교평가
교원능력개발평가
공개
법인
정관
임원인적사항(임원과 친척관계에 있는 교직원 현황)
예결산
법정부담금 납부현황
이사회 회의록
학교
예ㆍ결산현황
업무추진비 집행현황
수익자부담경비 집행액
수의계약 내역
물품 및 공사계획
발전기금
신용카드 사용내역
시설개방
시설개방 민원창구
전체메뉴
공유
페이스북
트위터
카카오톡
복사
인쇄
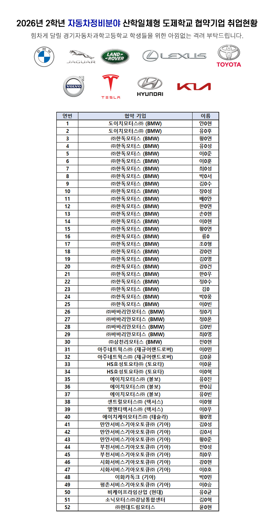
도제학교 취업현황